Il Comune di Messina assegna 500mila euro a progetti professionali destinati a valorizzare le aree periferiche cittadine
Un’iniziativa finanziata dal Ministero della Cultura per promuovere l’inclusione sociale e la valorizzazione del patrimonio culturale nelle aree più decentrate della città.
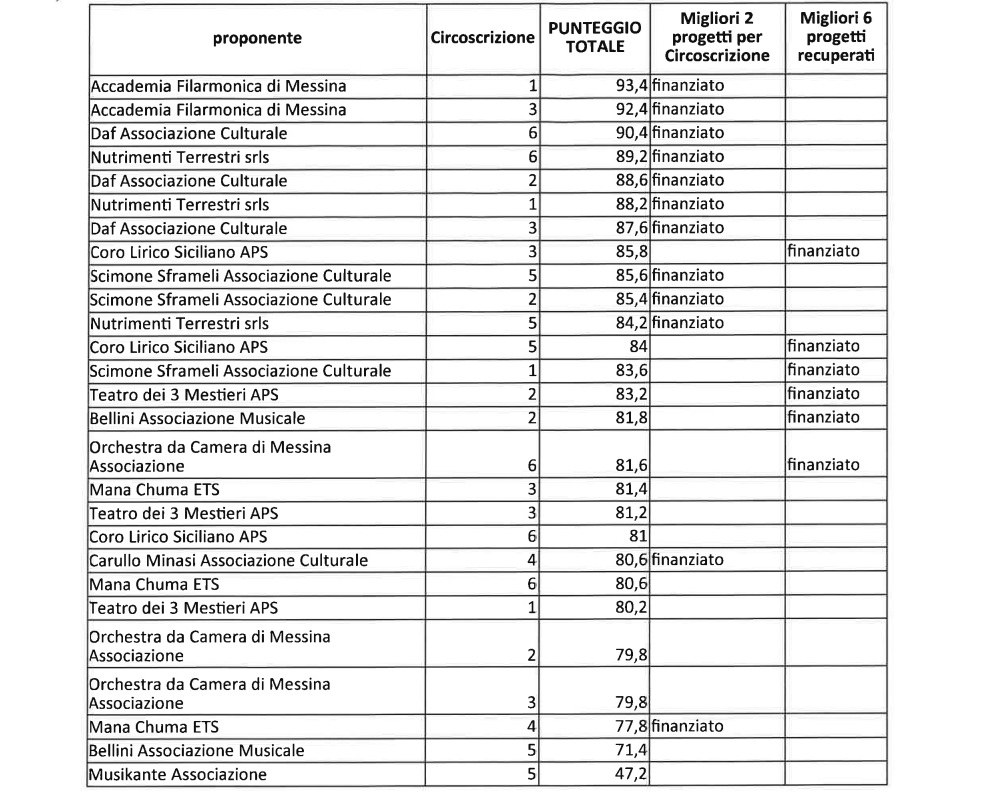
Il Comune di Messina ha approvato gli atti e le graduatorie relative all’Avviso pubblico per progetti di attività a carattere professionale nel campo dello spettacolo dal vivo.
Fondo statale per le periferie
Le risorse destinate specificamente al Comune di Messina ammontano complessivamente a 499mila 102 euro. L’obiettivo primario del bando era sostenere attività che assicurassero l’inclusione sociale, il riequilibrio territoriale e la tutela occupazionale.
Il percorso di valutazione
La Commissione di valutazione ratificato la verifica amministrativa delle istanze, per poi procedere all’esame di ammissibilità e alla valutazione qualitativa delle proposte in base ai criteri di impatto sul territorio e di coerenza progettuale. Il risultato del lavoro ha portato all’elaborazione di graduatorie distinte per ciascuna circoscrizione e di una graduatoria complessiva, ora ufficialmente approvate.
Prossime tappe e liquidazione
L’approvazione delle graduatorie rende ufficiale l’elenco dei progetti beneficiari dei fondi. L’iter per l’erogazione dei contributi proseguirà con un successivo provvedimento dedicato all’impegno di spesa, che darà il via libera alla liquidazione delle somme in favore dei selezionati.

