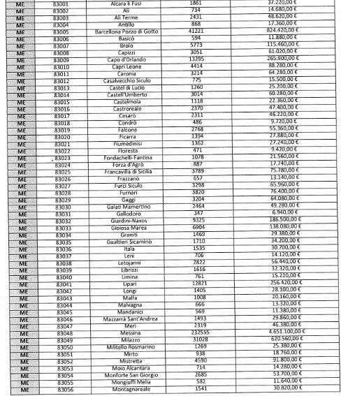
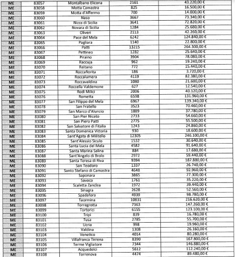
Vanno ad aggiungersi a 1,7 milioni stanziati dallo Stato, per un totale di 6.3 milioni nel Comune capoluogo. ECCO LE SOMME STANZIATE PER TUTTI GLI ALTRI COMUNI DELLA PROVINCIA MESSINESE
Cento milioni di euro dalla Regione Siciliana per consentire alle famiglie disagiate di accedere all’assistenza alimentare. 70 milioni saranno prelevati dai fondi Poc 2014-2020, 30 milioni dal Piano operativo Fse 2014-2020. Ora i dipartimenti regionali dovranno accelerare le procedure per l’assegnazione dei fondi ai Comuni.
In particolare, 14 milioni sull’asse 8 del Poc (Promozione dell’occupazione e dell’inclusione sociale), 6 milioni sull’asse 9 (Rafforzamento del capitale umano e miglioramento della qualità dell’efficacia dei sistemi formativi e d’istruzione), 50 milioni sull’asse 10 (Miglioramento delle condizioni di contesto sociale ed nei sistemi urbani e territoriali siciliani). Sull’asse 2 del Po Fse, invece, 30 milioni per la “Riduzione della povertà e dell’esclusione sociale e promozione dell’innovazione sociale”.
Al Comune di Messina arriveranno 4 milioni 650mila euro, che vanno ad aggiungersi a 1 milione e 700mila euro stanziati dallo Stato, per un totale di 6 milioni 350mila euro.
Nei Comuni più grandi della provincia, a Barcellona assegnati 824mila euro, a Milazzo 620mila euro, a Capo d’Orlando 266mila euro, a Patti 264mila euro, a Lipari 256mila euro, a Sant’Agata Militello 246mila euro, a Taormina 216mila euro, a Santa Teresa Riva 188mila euro, a Giardini Naxos 186mila euro.
LE SOMME ASSEGNATE A TUTTI I COMUNI MESSINESI


